2元1次方程式とは x2y = 9 x 2 y = 9 このように、 2 2 種類の文字の項がある 1 1 次式を、方程式と見た場合 2 2 元 1 1 次方程式といいます。 ※関数とみれば 1 1 次関数(次の章で学びます)です。 あまり言葉にこだわる必要はありません。 等式の変形をする 一次式と言うのは、ルートがあれば一次式とは呼べませんか? 。。。日本語がおかしいですが意味が伝われば、と思います 高校数学 至急以下の文を英訳してください。 私は自転車で遠出するのが好きです。 それをすると私は開放的な気分になります。 英語abは何次式ですか?? 数学高校数学で学習する連立方程式の解き方まとめ! 文字係数の方程式の解き方まとめ! 判別式Dを使って解の個数を調べてみよう! 2次方程式の共通解、kの値の求め方はどうやる?

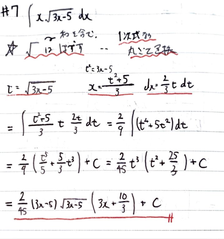
一次式のカタマリ積分 いちいち展開しなくてもok 文系でも積分速度バク上がりのテクニック 青春マスマティック
一次式とは ルート
一次式とは ルート-一次式のカタマリ積分とは \int \color {red} { (3x5)}^4 dx や \int \frac {1} {\color {red} {1x}}dx のように、式中に()でくくれるような一次式がある積分のこと。 小春 ()でくくられた一次式をカタマリと言っているのね。 カタマリって僕が勝手に言っている ルートの入った方程式が解けません。どなたか、次の方程式の解き方を教えて頂けませんか?√(x4)2乗10の2乗 √(x10)2乗90の2乗 = 環境学で、遮音壁の高さを計算するのに必要なのですが、数学を忘れてしまい、行き詰ってい



一次方程式の問題や文章題の解き方を例題で詳しく解説 Studyplus スタディプラス
二元一次方程的解:使二元一次方程两边的值相等的两个未知数的值,叫做二元一次方程的解二元一次方程组的解:二元一次方程组的两个公共解,叫做二元一次方程组的解。 标准二元一次方程组包含六个系数,两个未知数,形式为: 式1,axby=c 式2,a2xb2y=c21次分数型の漸化式 a n1 =(pa n q)/(ra n s) 隣接3項間型の漸化式 a n2 pa n1 qa n =0;真分式分解出待定式 待定系数求解方法 实根法(一次式), 复根法(二次式), 求导法(一次n重), 极限法(一、二次的二重) 1 判别真假分式 形如 的分式, 若分子指数等于或高于分母, 则要化为真分式 化简方法 做多项式除法 例如 2 真分式分解 重一次因式;
ルートの中身が一次式の場合の積分 より一般に、 ∫ a x b d x = 2 3 a ( a x b) 3 2 C ∫ 1 a x b d x = 2 a a x b C という積分公式が成立します。 実際、右辺を合成関数の微分公式を使って計算すると左辺になることが確認できます。 また、平方根の中身がこのページでは、中学校学習レベルの数式を英語で読む方法をご説明しています。 2次方程式 $ ax^2bxc=0 $ や、その解の公式 $ x=\frac{b \pm \sqrt{b^2 4ac}}{2a} $ のような文字式、ルート、累乗を含む式って英語でなんて言えばいいんだろう そんな疑問をこのページで解決しましょう!動画一覧や問題のプリントアウトはこちらをご利用ください。ホームページ → http//19chtv/ Twitter→ https//twittercom/haichi_toaru
1つおきの漸化式 a n2 =f(a n) 推測型の漸化式(数学的帰納法で証明する最終手段) 相似な図形の数列と漸化式; 一次式のべき乗の積分公式 べき乗の中身 置換積分法とは?公式やパターンを見抜くコツ(三角関数・ルート など) 部分積分法とは?公式や証明、使い方のコツ(logの問題あり) 不定積分のやり方例題 では、これまでに紹介した公式や性質を使って、実際に不定積分を解く方法を乗法公式(式の展開公式)19個まとめ 乗法公式とは, ( x a) 2 = x 2 2 a x a 2 (xa)^2=x^22axa^2 (xa)2 = x2 2axa2 のように,式を展開するための公式のことです。 乗法公式は展開公式とも呼ばれます。 高校数学の最初のテーマです。 → 乗法公式(式の展開




中3数学 をバッチリ攻略 因数分解 平方根 二次方程式 二次関数




数学 中3 24 二次方程式 基本編 Youtube
2次関数の予測 例えば2次関数 \( f(x) \) は一般的に, \ f(x) = a x^2 b x c \notag \ と書くことができる この式に含まれている未知数 \( a ,b , c \) を決定するためには3つの独立した式が必要となる文字式が入った行列式の計算の検算ができるとありがたいです。 5 1912 歳代 / 大学生 / 役に立たなかった / 使用目的ルートなどの近似式 一般化二項定理を使うことでルートなどを近似できます: ルートの近似公式(一次近似) x x x が十分 0 0 0 に近いとき 1 x \sqrt{1x} 1 x は 1 x 2 1\dfrac{x}{2} 1 2 x で近似できる。 高校物理でもよく使う近似式です。背後には一般化二項定理(テイラー展開)があったのです




早起き積分 7 出典 ヨビノリ積分 7 13 07年横浜国大 工 鈴華書記 Note



一次方程式の問題や文章題の解き方を例題で詳しく解説 Studyplus スタディプラス
問題2 次の方程式が表す図形を求めなさい. 初めに 問題を1つ選び,続けて右欄から解答を選びなさい. 正しければ確定します.間違っていれば元に戻ります. 問題 解答 Help 個別の頁からの質問に対する回答円の方程式について/ わかりやすい解説もついていて、途中式も丁寧 1次関数2点を通る直線の式の求め方がわかる3ステップ 中2 数学 15 >ルートが入った式の展開はどうやれば良いですか? ルートが入っていない時と同じだよ! 乗法の公式を使って式を展開していこう! ken より 17年8月29日 127 PM >2√3-√48が分かんないです。 まずはルート48を簡単にし1次関数のグラフを見て,方程式が答えられるようにする. I 直線のグラフから「切片」と「傾き」を読み取れるようにする. II 直線のグラフから1次関数の方程式を答えられるようにする. III 傾きが分数になるときでも,直線のグラフから1次関数の方程式を答えられるようにする. → 携帯版




方程式の解き方をマスターしよう 中学生 数学 公式 家庭教師のアルファ プロ講師による高品質指導




平方根の計算 の中と外を自由に行き来する方法 苦手な数学を簡単に
一次式と言うのは、ルートがあれば一次式とは呼べませんか? 。。。日本語がおかしいですが意味が伝われば、と思います 続きを読む 高校数学・3,421閲覧 1人が共感しています 共感した ベストアンサー ssm***** ssm***** さん 16/3/31 1857 ナイス! あわせて知りたい 日本語能力試験 N5 に絶対値記号を含む方程式・不等式の解き方 A| x +3|=4 B | x +3|=4 x C | x +3|<4 D | x +3|≧4 x の解き方を教えてください。 進研ゼミからの回答! こんにちは。 いただいた質問について,さっそく回答いたします。次の問題は少し厄介 なぜかというと、二重根号をはずすためには ルートの前に2という数が必要になるからです。 今回の式を見てみると、二重ルートである72の前には何もついていないですね。 これでは、二重根号をはずすことができません




この問題でルートの中を完全方程式にするっていうのは問題文で言ってる 高校 教えて Goo




方程式の種類と解き方 中学で学習する方程式ってどんなのがある 中学数学 理科の学習まとめサイト
3年2次方程式総合問題Lv2 2(2)①と②の答が逆になっていたので訂正しました。 19/9/4 3年円周角6 ⑥答127°(誤)→ 117°(正) 19/8/30 3年2乗に比例する関数 変域3 2(4)答t=6(誤)→ t=0(正) 19/8/28 3年 2次方程式総合問題Lv3 3(2)図の記号が間違っていました。 19/8/9 3年 1,2年の復習Lv1 2② xの値が2※この番組は、21年度の新作です。 10 6/14 1次方程式・1次不等式の応用 11 6/21 2次関数 関数 12 6/28 2 次関数の頂点 13 7/5 2 次関数のグラフをかく 14 7一次方程式は方程式の基本です。方程式には、連立方程式や2次方程式などもありますが、この一次方程式ができていなければ解くのが難しくなりますので是非一次方程式は解けるようになっておいてください。 方程式の問題例 次の方程式を解きなさい。 3 x = 15 両辺を3で割る 3 x ÷3 = 15÷3 解 x




Sin8 1 2の角度 8の値 は Sin8 ルート3 2やsin8 1 ルート2 ルート2分の1 を満たす角度は何度 単位円 ウルトラフリーダム




二次方程式の解き方 平方根 因数分解 解の公式での答えの求め方 リョースケ大学
連立漸化式 a n1 =pa n qb n 、b n1 =ra n sb n;Find local businesses, view maps and get driving directions in Google Maps




一次方程式



一次方程式の問題や文章題の解き方を例題で詳しく解説 Studyplus スタディプラス




Square Root Programmer Sought




一次方程式の解の求め方 数学fun




一次方程式とは 慶應生が解き方3ステップ教えます 問題 文章題付き 高校生向け受験応援メディア 受験のミカタ




整数16 一次不定方程式が5秒で解けるとか無理じゃね 怜悧玲瓏 高校数学を天空から俯瞰する




数学 中3 26 二次方程式 解の公式編 Youtube



1次不等式とは 1分でわかる意味 マイナス ルート 問題 符号との関係




一次式のカタマリ積分 いちいち展開しなくてもok 文系でも積分速度バク上がりのテクニック 青春マスマティック




教えてください 番が分かりません 解の公式を使ってルート内が25y 2 Clear




平方根をつかった二次方程式の解き方の3つのステップ Qikeru 学びを楽しくわかりやすく




このような問題で判別式を使うのはなぜでしょうか 解という言葉も見つからなくてどう引 Clear
(%E3%80%80)%E2%97%8F.png)



中学数学 二次方程式




方程式の教え方




二次方程式の解き方 平方根 因数分解 解の公式での答えの求め方 リョースケ大学




高校数学で学習する連立方程式の解き方まとめ 数スタ




ルートの四則演算 計算する順番に注意しよう 中学や高校の数学の計算問題




2次関数 が整数となるnの値は 数学の偏差値を上げて合格を目指す




次数の意味から5分でわかる 一次式と二次式の違い Qikeru 学びを楽しくわかりやすく




高校数学 絶対値が2つある方程式 不等式 外し方 覚え方 計算方法 学校よりわかりやすいサイト




一次方程式 連立方程式 ルートの計算



無理関数とは グラフや微分 積分 不等式の解き方 受験辞典




二次方程式の意味と解き方まとめ 解の公式 因数分解 アタリマエ




一次方程式と一次不等式の違い 看護受験の必須 数学の公式を確認テスト Vol15 Kazアカデミー 大阪の看護学校 看護予備校




式の計算 高校数学の美しい物語



中学校数学 3年生 数量 2次方程式 Wikibooks




二次方程式の解き方 平方根 因数分解 解の公式での答えの求め方 リョースケ大学




一次方程式 連立方程式 ルートの計算



3




基本 無理関数のグラフ 放物線の一部 なかけんの数学ノート




中学数学 平方根 のコツ 素因数分解 ルートを簡単にする計算




apu 一次方程式を無理やり二次方程式の解の公式で解くの図




平方根をつかった二次方程式の解き方の3つのステップ Qikeru 学びを楽しくわかりやすく




中3数学 二次方程式の解き方を見分ける1つのコツ Qikeru 学びを楽しくわかりやすく




3分でわかる 解の公式をつかった二次方程式の解き方 Qikeru 学びを楽しくわかりやすく




1次方程式 なぜ移項するとき符号がかわるのか 中学生からの勉強質問 数学 進研ゼミ中学講座



与式が 1次式の積となるようにするとき Kの値を求めよ という問 Yahoo 知恵袋




中3数学 ルート 根号 の外し方がわかる2つのステップ Qikeru 学びを楽しくわかりやすく




分数 小数 ルートを含む二次方程式の解き方まとめ 数スタ




一次式の乗法や除法 文字でもルールは掛け算と割り算と同じ 中学や高校の数学の計算問題




基本 無理関数のグラフ 放物線の一部 なかけんの数学ノート



ルートの入る一次方程式の解き方が分かりません 例えば 3x Yahoo 知恵袋




判別式dの公式とは 解の個数が求まる仕組みとd 4の使い方まで解説



ルート の中にxがある場合について 3 X 3yなら一次式になることはわか Yahoo 知恵袋




1次式の加減法 カッコの前にマイナスがある時は解き方に注意 中学や高校の数学の計算問題




ルートの入った方程式の解き方 ルートの入った方程式が解けません ど 数学 教えて Goo




根号 ルートの基本 看護受験の必須 数学の公式を確認テスト Vol11 Kazアカデミー 大阪の看護学校 看護予備校




ルートの分数計算 問題解説で完全マスターだ 数スタ



定数が分からない二次方程式をルートで覆った場合それは2次式で Yahoo 知恵袋




2枚目の方法で142の 3 か143の 1 をお願いします Clear




一次方程式 連立方程式 ルートの計算




一次方程式 連立方程式 ルートの計算




絶対値記号を含む方程式 不等式の解き方 数学 苦手解決q A 進研ゼミ高校講座




平方根 2 ルートと平方根の違い バカでもわかる 中学数学




分数 小数 ルートを含む二次方程式の解き方まとめ 数スタ




二次方程式の意味と解き方まとめ 解の公式 因数分解 アタリマエ



方程式の応用問題 平方根との混合問題 中学数学の方程式 中間 期末テスト 高校入試対策




二元一次方程式とは何もの Youtube




Cdn Ak F St Hatena Com Images Fotolife Y Yakuni




中学数学 平方根 のコツ 素因数分解 ルートを簡単にする計算




数学 近似式まとめ 各種公式 求め方 理系ラボ



中学数学単元別 不等式 数学 中学校 教材 問題集 106 学林舎 通販 Yahoo ショッピング




高校数学 無理関数の積分2パターン 分母の有理化と根号丸ごと置換 受験の月




文系社会人が中学代数2次方程式を解く 平方完成が最強の解き方 ビヤ Note毎日投稿 192日突破 お休み 復帰 Note




ルートの中身が絶対値に なんで場合分けが必要なのか 数スタ




Cos8 1 2の角度 方程式 は Cos8 3 2 ルート3 2 やcos8 2 2 1 2 を満たす角度は何度 単位円 ウルトラフリーダム




一次方程式 連立方程式 ルートの計算



1




中3数学 ルートの計算とカッコ カッコの公式 練習編 映像授業のtry It トライイット




高校数学 数 17 1次不等式 基本編 Youtube




中3 数学 平方根2 ルート 根号 1 4分 Youtube




二次方程式の解き方 平方根の知識を使う問題のパターン 中学や高校の数学の計算問題




次数の意味から5分でわかる 一次式と二次式の違い Qikeru 学びを楽しくわかりやすく



絶対値とは 記号の外し方や計算 方程式や不等式の解き方 受験辞典




二次方程式の意味と解き方まとめ 解の公式 因数分解 アタリマエ



一次方程式の問題や文章題の解き方を例題で詳しく解説 Studyplus スタディプラス




一次方程式の解き方 中学生 数学 公式 家庭教師のアルファ プロ講師による高品質指導




分数 小数 ルートを含む二次方程式の解き方まとめ 数スタ



一次方程式の問題や文章題の解き方を例題で詳しく解説 Studyplus スタディプラス




一次方程式と一次不等式の違い 看護受験の必須 数学の公式を確認テスト Vol15 Kazアカデミー 大阪の看護学校 看護予備校




一次方程式 連立方程式 ルートの計算




絶対値記号を含む方程式 不等式の解き方 数学 苦手解決q A 進研ゼミ高校講座




3分で分かる 絶対値を含む不等式の解き方をわかりやすく 合格サプリ



代数方程式 Wikipedia




分数 小数 ルートを含む二次方程式の解き方まとめ 数スタ




中学生 数学 練習問題プリント 無料ダウンロード 印刷 ちびむすドリル 中学生




次数下げで計算速度を大幅にアップする方法 計算テクニック



3



ルートの入る一次方程式の解き方が分かりません 例えば 3x Yahoo 知恵袋



1




平方根 2 ルートと平方根の違い バカでもわかる 中学数学




What Is The Synthetic Route From 1 To 5 In 2 Chegg Com



分数関数とは グラフや微分 積分 不等式の解き方 受験辞典




絶対値記号を含む方程式 不等式の解き方 数学 苦手解決q A 進研ゼミ高校講座
0 件のコメント:
コメントを投稿